圆柱侧面积怎么求?
2025-10-22 09:39 来源:网络 点击:
圆柱侧面积怎么求?
圆柱侧面积=底周长×高
=直径×π×高=2r×π×h=
2πrh
,
圆柱体积=底面积×高
=

1.
解析
(1) 圆柱体积=

×圆柱侧面积=

×200=300立方厘米。
(2) 圆柱体积=

×圆柱侧面积=

×100=250立方米。
(3) 还可以这样做(以上一题为例):
高=

=

…除法结果用分数表示,易于计算
体积=π×

=300(立方厘米)。
答案
(1)300;(2)250。
2.
解析
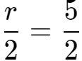
(1) 圆柱体积=

×圆柱侧面积,所以圆柱体积÷圆柱侧面积=

,90÷36=

,即

,r=5。
(2) 底面周长=2rπ=2×5π=10π厘米。
答案
10π
相关标签:
-
- 铁观音是红茶吗?
-
2025-10-22 09:37:09
-
- 绿帽子的梗怎么来的
-
2025-10-22 09:34:54
-
- 护肤品的保质期一般是多久_自然堂护肤品保质期多长时间
-
2025-10-22 04:40:21
-
- 爱一个人就爱一辈子,真有一生一世的爱情吗
-
2025-10-22 04:38:06
-
- 威宁县小吃与特产图片 威宁县的特产有哪些
-
2025-10-22 04:35:51
-
- 企业邮箱怎么申请
-
2025-10-22 04:33:36
-
- 2008年发生了哪些大事件(回顾一下2008年的所有事件,让人印象深刻)
-
2025-10-22 04:31:21
-
- 跪舔领导有用吗(为什么90后都不愿意讨好领导)
-
2025-10-22 04:29:06
-
- 董洁现任丈夫(董洁现任丈夫:陈道明与董洁的爱情故事)
-
2025-10-22 04:26:51
-
- 至圣指的是谁 至圣指的是哪位儒家代表
-
2025-10-22 04:24:36
-
- 孕妇能躺别人夫妻的床吗(孕妇可以睡别人夫妻的床吗)
-
2025-10-22 04:22:20
-
- 山东包子做法(分享正宗山东包子的家常做法)
-
2025-10-22 04:20:05
-
- 美人鱼歌词周杰伦另类歌词,周杰伦给你不一样的听觉感受
-
2025-10-22 04:17:50
-
- 40岁还能找什么工作(做什么工资高点累点也可)
-
2025-10-22 04:15:35
-
- 瑞丽依佳人服饰(瑞丽依佳人服饰:体现时尚与品质的完美结合)
-
2025-10-22 04:13:20
-
- 街拍:丰满的美少妇,紧身的衣裙,挡不住她那诱人的好身材!
-
2025-10-22 04:11:05
-
- 丁夫人简介(丁夫人曹操的正室)
-
2025-10-22 04:08:50
-
- 释放的形容词 形容释放的成语
-
2025-10-21 22:51:49
-
- 如何提升自己的理财能力
-
2025-10-21 22:49:33
-
- 关于陈忠实白鹿原的作品赏析解读
-
2025-10-21 22:47:18



雪燕吃起来有酸味正常吗 雪燕是什么味道
女生说哎什么意思 女生说哎呀是什么意思
小六子是什么梗 网络用语中央开空调是什么意思
结扎有补贴吗?结扎需自费
夫妻在别人家为什么不能睡一起?夫妻不能别人家同床睡
香烟保质期是多长时间 香烟放一年没拆还能抽吗
网络用语真实你是什么意思 网络用语gzy是什么意思
女生说七喜什么意思?女生说七喜暗示什么?
郑多燕小红帽减肥有用吗 郑多燕小红帽的作用
女生说我醉了什么意思?女生说喝多了怎么回复