2019年山东高考各科试题及答案来了!快看
2019年山东高考各科试题及答案来了!快看


6月8日下午,2019年山东夏季高考结束。18:00,山东省教育厅召开2019年高考第一次新闻发布会,通报山东省2018年普通高考组织实施基本情况、成绩公布时间及查询途径。
记者从发布会上了解到,山东省夏季高考成绩将于6月25日前公布。为方便考生及时查询到成绩,仍然使用网络和短信推送两种方式公布。网上查询可登录山东省2019年普通高考成绩查询平台,考生接受短信的手机号为报名时登记的手机号,省招考院发布成绩的短信号为106930066。
据统计,今年全省夏季高考编场人数为559902人。按科类分别有文史类140761人、艺术文96281人、体育类14882人、理工类281166人、艺术理26812人。各科缺考人数为语文10366人、数学11432人、综合科目11796人、外语12264人。本次考试各市上报违纪考生16人,作弊考生36人。违纪考生将取消该科成绩,作弊考生将取消所有科目成绩。
记者为大家整理了文综试题和答案,供大家参考。
来来来
“准”大学生们快来看看你能考多少分
想“自虐”的小伙伴来看看
这套卷子
你能考多少分?
语文试题及答案
↓↓↓点击查看大图↓↓↓












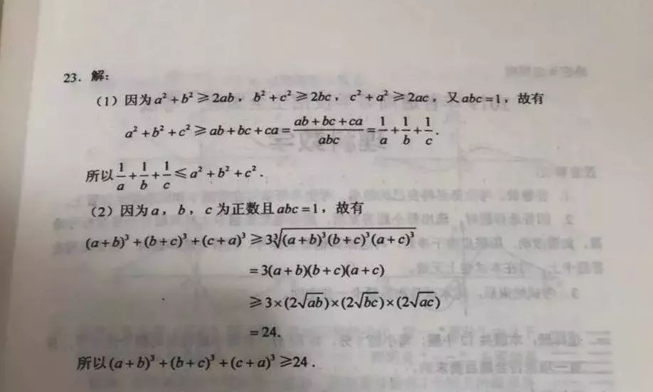
数学试题及答案
↓↓↓点击查看大图↓↓↓
文科数学









理科数学试题及答案
↓↓↓点击查看大图↓↓↓





文科综合能力试题及答案
↓↓↓点击查看大图↓↓↓



理科综合能力试题及答案
↓↓↓点击查看大图↓↓↓


外语试题及答案
↓↓↓点击查看大图↓↓↓
英语












日语




来源:山东省教育厅、爱济南等
-
- Beyond《光辉岁月》|永不褪色的音乐传奇
-
2025-08-30 22:06:16
-
- 月薪三万依然焦虑,赚多少钱才能幸福?这届年轻人算了一笔扎心账
-
2025-08-30 22:04:01
-
- 大决战2:淮海战役
-
2025-08-30 22:01:46
-
- 牧原股份扩招10万名员工 平均月工资五千至一万 最高达4万元
-
2025-08-30 05:16:04
-
- 香港影坛“十大实战高手”,成龙、李连杰、甄子丹,排不上号,
-
2025-08-30 05:13:49
-
- 《龙族》~绘梨衣经典语录
-
2025-08-30 05:11:34
-
- 《仙剑奇侠传》系列里,为什么仙剑三会是仙剑一的前传呢?
-
2025-08-30 05:09:19
-
- 购买77克黄金,就这么白白送给陌生人?
-
2025-08-30 05:07:04
-
- 抛弃病夫!插足导演家庭,55岁攀上富豪,三金影后的上位史太精彩
-
2025-08-30 05:04:49
-
- 传闻杨丽萍月亮宫被查封?揭秘当代艺术殿堂的神秘真相!
-
2025-08-30 05:02:34
-
- 官方发布:山东高职院校2024最新排名,烟职跻身四强
-
2025-08-30 05:00:19
-
- 元宵佳节,推荐家宴准备4道好菜,寓意幸福吉祥,红火闹元宵
-
2025-08-30 04:58:03
-
- 亚里士多德最经典的10句名言
-
2025-08-30 04:55:48
-
- 五帝的历史形象与现实意义——中国古老统治者的独特地位及其历史
-
2025-08-30 04:53:33
-
- 新年祝福 寄语师生|河北磁县朝阳学校校长赵少华发表新年贺词
-
2025-08-30 04:51:18
-
- 在我军中,究竟是元帅大,还是将军大?军衔和职级会有很大的反差
-
2025-08-30 04:49:03
-
- 浙师大更高!浙师大、杭师大定向录取分数线出炉?
-
2025-08-30 04:46:48
-
- 改名后的湖南商学院现在怎么样了,多少分能上!
-
2025-08-30 04:44:33
-
- 小伙捡到汉代金印拒卖文物贩子,上交获得350元,专家:多多益善
-
2025-08-30 04:42:18
-
- 《遥远的婚约》今晚收官 那些年我们爱的方式不一样
-
2025-08-30 04:40:03



褚时健当年得罪了谁(褚时健是被谁害的话)
邱行湘老婆张玉珍生平 邱行湘将军之子邱晓辉
钱雁秋最新力作《神探狄仁杰6》卷土重来,张子健回归变反派
十位欧美健身男模,颜值和身材兼备,肌肉帅气十足
法官职务等级及工资揭秘,宝藏级信息
卓伟爆料圈内最干净的三位女星,颜值在线还零绯闻,没人质疑
非你莫属晕倒哥后续(非你莫属晕倒小伙)
中国最发达省份排名:江苏、福建、浙江居前
33年前,英雄徐良凭《血染的风采》家喻户晓,他现在怎样了
演员甘露个人资料(演员甘露个人资料及照片老公)