超级高铁来了比飞机速度快了四倍(超级高铁接近第一宇宙速度)
超级高铁来了比飞机速度快了四倍(超级高铁接近第一宇宙速度)
朋友们,你坐过最久的一趟火车,是多长时间?
(只坐飞机没坐过火车的请让路……)
我最远的一次,大概是从沈阳到西安的火车,一口气坐了26个小时,硬座票,真的是硬着头皮坐完的……
那个时候,我就在想,如果火车能快一点,该有多好。直到高铁出来……我也坐不起。虽然省时间,但是太贵了……
目前,高铁最快时速可以超过300公里。虽然超的不多,但这个速度已经非常惊人了。但是,如果有人告诉你,有一种所谓的超级高铁,速度可以超过火箭,你信吗……

超级高铁是啥
听起来,只要是比现在的高铁牛的列车,就可以叫做超级高铁。不过,目前来说,比较被重视的一种模式,大约就是真空管道模式的超级高铁了。
真空管道运输,最早是在上个世纪90年代由机械工程师达里尔·奥斯特提出的。顾名思义,就是在一个真空或者高度真空的环境下进行的交通运输。很明显,这是一种排除空气阻力的交通模式。
说起空气阻力,很多人是不太在意的。毕竟在高中学物理的时候,这种因素都是被忽略的。问题在于,高中时忽略空气阻力,是考虑到我们的智商还不够,不是空气阻力不够……
当你真的了解了空气阻力之后,就会明白它给人类带来多大的麻烦。而空气给人类带来的麻烦,不仅仅在于阻力。这些综合的因素,大大限制了交通的速度。

空气阻力有多强大
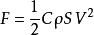
空气阻力的计算公式,是这样的:

其中,C为空气阻力系数,ρ为空气密度,S为物体迎风面积,V就是物体与空气的相对运动速度了。可以看出,前三项的数据相对稳定,所以空气阻力的大小,就和速度有着重要的关系。而且,它是与速度的平方成正比的,因此,当交通工具速度上升的时候,空气阻力是呈平方指数上升的。
别说交通工具了,即使是对于人类的男子一百米竞赛,空气也有着很大的影响。要知道,博尔特的世界纪录,按照时速算也不过是每小时34.5公里。
对于交通工具来说,这个影响就更大了。

在F1赛车界有这么一句话:“谁控制好空气,谁就能赢得比赛”。F1的最高时速大概也就是四百多公里,已经如此受空气阻力的限制,更不用说目标时速设定在几千甚至上万公里的超级高铁了。
因此,空气阻力对于高铁速度的限制,不仅仅是明显,简直就是可怕。解决了空气阻力,列车就可以大幅提升速度。甚至西南交通大学张耀平教授指出,只要不超过第一宇宙速度(那样就要起飞了),也就是28440公里的时速,就都是有可能的。
超级高铁的其他优势
不止是对于速度的限制,更可怕的是空气阻力带来的一系列影响。首先需要担忧的,就是能耗问题。
以普通的车为例,当它的时速达到80公里的时候,它的油耗就有将近一半要搭载客服空气阻力上了。为什么这么夸张?如果你还记得高中物理的一个公式的话你就明白了——P=F·V。也就是说,功率等于牵引力乘以速度,牵引力有一部分是对抗空气阻力的,也就是和速度平方成正比,然后在乘以速度,也就是说,这个功率要和速度立方成正比……

对于高铁来说,如果速度达到400km/h,那么其消耗的能源中,有80%都是在克服空气阻力。
所以,如果能够在真空管道里运行一辆车,那么它的速度将会大大增加,而且节省大量的能源。有人做过计算,如果真空管道运输可以实现,将可以节省超过98%的能耗!
而且,由于能源的大幅下降,大家担心的票价可能会出乎意外地不会提高,反而会非常便宜。
除了能源之外,噪音也是非常恐怖的。专家指出,气动噪音随速度七次或八次方而急增,一旦高铁速度过快,光是噪音就能把人逼疯。这还只是气动噪音,而不是高铁本身的噪音。之所以我们的高铁在城区会减速,除了考虑安全因素之外,也是防止噪音污染。
超级高铁是否在研发
问题在于,可行吗?
实际上,自从这个想法被提出之后,很多人都考虑实施这一计划。最著名的,就是科学狂人——埃隆·马斯克。从电动车到火箭,马斯克什么都研究,连高铁也不放过。

2013年,马斯克提出了Hyperloop计划,让超级高铁从专家研究领域转移到了公众猎奇领域。他提议利用太阳能电池板为高速回路列车提供全时段的电力支持,打造时速高达800英里(约1287公里)的列车大幅提高列车的运输效率和能力。不过,由于特斯拉和火箭已经占据了他大量的时间和精力,他实在无暇再搞这项科技,所以把这个创意提供出来,希望有能力的公司进行研发。
接下来,就有很多公司响应。其中成效最好的,就是Hyperloop One了。
2016年,Hyperloop One在美国拉斯维加斯的沙漠中进行了一次测试,在他们建造的轨道上,一辆测试用的小车在2秒之内加速到了643 公里每小时。嗖,一闪而过,牛吧?最终,风驰电掣的小车,在91米外利用减速沙滩实现了停车。
猜中了开头,却没猜中结尾……
这车刹的,真是让我意外……

即便如此,Hyperloop One的这次测试仍然赚足了眼球,并且在2025年获得了维珍集团的融资,看起来欣欣向荣。不过,最近几年,我们很少听到关于Hyperloop One消息了,不知道他们几时还会有新的动作。
除了美国之外,世界其他国家也对此表示了兴趣。2016年5月中旬,俄罗斯交通部部长马克西姆·索科洛夫
在国内,也有很多人在从事相关的研究。西南交通大学、北京交通大学、中国航天科工公司都有专门的工程项目。

超级高铁的可行性
不过,虽然这么多人兴致勃勃地投入了好奇心和精力,但所谓的超级高铁,实现起来非常难。
正如西南交通大学超导与新能源研究开发中心首席教授赵勇所指出的,首先要考虑的,就是如何构建如此庞大的真空空间。咱们以复兴号为例,高度为4.05米,宽度为3.36米。算上轨道和周围的空间,最小要占的截面积也要有15平方米吧。如果建造一条长度达到1000公里的铁路,这个体积就是1500万立方米的真空空间。
试问,咋抽出这么多的空气?

而且,这个数据我们已经尽量小地计算了,如果时速都4000公里了,却只建一个1000公里的轨道,未免也太寒碜了。
再者,既然是列车,中途自然要有乘客的上下车,在这个过程中势必要开门的。那么,如何防止这个过程中空气涌入管道?
赵勇提出的难点有三个,但仅仅这一条,就足以告诉我们:至少目前来说,超级高铁是不可能的,必须要等更先进的科技才可以。
既然说到这了,咱们再说说他认为的另外两个难点。超级高铁需要采用直线牵引技术,但这一技术的功效尚不能满足其动力需要,有待改进。其次,目磁悬浮技术对于超级高铁而言,也不够稳定。
难怪中国科学院、工程院两院院士沈志云指出:真空管道运输确实有一定的科研价值和发展前景,但要实现并不容易。他还表示:目前全世界范围内对于管道运输的研究都还停留在设想方案阶段,尚无实质性的技术实验。
也就是说,如果能够解决上面说的难题,超级高铁在理论上确实可以达到数千公里的时速;但是,目前来说,没有任何人能够解决这些问题。那些说几年内可以实现超级高铁的,基本就是在吹牛。
不过,只要有研发价值,那就好办。虽然目前无法实现,但是总有一天我们会具备相应的技术。事实上,沈志云院士虽然提醒我们真空管道运输目前的困难,但他也一直在做相关的思考。

正如沈志云院士所说,随着石油日趋紧张,耗油量巨大的飞机在未来可能会越来越昂贵。如果没有新能源开发,人类可能在一段时间内不得不回归陆地交通。因此,真空管道运输将是未来的趋势,有着重要的意义。
因此,即便现在还无法实现,但相关的研究不论对于超级高铁或者其他未知的领域,都可以作好重要的铺垫。每一项现在看起来没有实际应用意义的研究,或许都将是改变未来的科技!
,
-
- 贬义词是什么意思(含有贬义的四字词语闪亮登场!快来关注吧!)
-
2025-10-15 21:18:12
-
- MerryChristmas歌曲原唱_merrychristmas歌曲歌词
-
2025-10-15 21:15:57
-
- 面对出轨的老婆,我该如何面对(当老婆出轨了,我应该怎样面对)
-
2025-10-15 21:13:42
-
- 寺可以加什么偏旁(寺可以加什么偏旁变成什么字)
-
2025-10-15 21:11:27
-
- 描写运动会的作文400字(描写运动会的作文600字)
-
2025-10-15 21:09:13
-
- 何碧玉为什么被终身禁止回国(何碧玉现在的情况)
-
2025-10-15 21:06:58
-
- 教师培训总结及收获(教师培训总结心得)
-
2025-10-15 21:04:43
-
- 49年前,那个轰动一时的“白卷英雄”张铁生,如今已身价过亿
-
2025-10-15 17:00:42
-
- 厨师长教你:翻锅技术及实际运用技巧,“学厨进阶”必修课!
-
2025-10-15 16:58:27
-
- 名创优品为什么不合格了(去山寨化之后名创优品的新问题来了)
-
2025-10-15 16:56:12
-
- 《愤怒的黄牛》上映,董璇柔美,吴樾拳拳到肉,配角的演技也在线
-
2025-10-15 16:53:57
-
- 怎样抓老鼠和消灭老鼠,抓老鼠最好的方法是怎样抓
-
2025-10-15 16:51:42
-
- 梦见羊肉(梦见吃羊肉)
-
2025-10-15 16:49:27
-
- 伏天是如何计算出来的(伏天的正确算法)
-
2025-10-15 16:47:13
-
- 家常鱼头怎么做简单又最好吃?9种鱼头的做法步骤来啦!
-
2025-10-15 16:44:58
-
- 和女生聊天怎么找话题不至于尬聊(如何找话题不尴尬)
-
2025-10-15 16:42:43
-
- 常见的猫咪都有哪些品种(10种公认最可爱的猫咪品种排行)
-
2025-10-15 16:40:28
-
- 怎样处理三角关系,三角关系如何处理最好
-
2025-10-15 16:38:13
-
- 嫦娥五号回归故乡(亲历嫦娥五号回家)
-
2025-10-15 12:45:20
-
- 简单解释下庞氏骗局(一个小故事告诉你)
-
2025-10-15 12:43:05



雪燕吃起来有酸味正常吗 雪燕是什么味道
女生说哎什么意思 女生说哎呀是什么意思
小六子是什么梗 网络用语中央开空调是什么意思
结扎有补贴吗?结扎需自费
夫妻在别人家为什么不能睡一起?夫妻不能别人家同床睡
香烟保质期是多长时间 香烟放一年没拆还能抽吗
网络用语真实你是什么意思 网络用语gzy是什么意思
女生说七喜什么意思?女生说七喜暗示什么?
郑多燕小红帽减肥有用吗 郑多燕小红帽的作用
女生说我醉了什么意思?女生说喝多了怎么回复